Actualités
Dernières actualités de notre centre.
février 2, 2022
Einstein Telescope approved for ESFRI Roadmap 2021
janvier 24, 2022
This is an example of news
Dernières publications
Dernières publications des membres du GWSC.
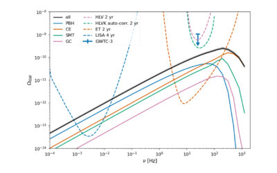
Stochastic gravitational-wave background as a tool for investigating multi-channel astrophysical and primordial black-hole mergers
Stochastic gravitational-wave background as a tool for investigating multi-channel astrophysical and primordial black-hole mergers Auteurs: Bavera, Fragos, Zapartas et al. (2022) Abstract: The formation of merging binary black holes can occur through multiple astrophysical channels such as, e.g., isolated binary evolution and dynamical formation or, alternatively, have a primordial origin. Increasingly large gravitational-wave catalogs…
This is the title of an example
Probing the progenitors of spinning binary black-hole mergers with long gamma-ray bursts Auteurs Bavera, Fragos, Zapartas et al. (2022) Abstract: Long-duration gamma-ray bursts are thought to be associated with the core-collapse of massive, rapidly spinning stars and the formation of black holes. However, efficient angular momentum transport in stellar interiors, currently supported by asteroseismic and…
Recherche
La mission du GWSC est d’encourager la recherche suisse dans le domaine des ondes gravitationnelles
et d’inspirer la prochaine génération de scientifiques à travers cette nouvelle fenêtre sur l’Univers.
Les personnes de GWSC
En savoir plus sur les membres et les membres affiliés au GWSC. En savoir plus .





![img_1920x1080p (4) Joint distribution of the chirp mass [latex]M_mathrm{chirp}[/latex] and the effective inspiral spin parameter [latex]chi_mathrm{eff}[/latex] from isolated binary evolution. The model predictions for the underlying (intrinsic) binary black hole population is shown in gray where lighter colors represent larger contour levels of 90% and 99.9%, respectively. The sub-population of merging binary black holes which emitted long-duration gamma ray bursts is shown in blue. Overlaid in black are the ten LIGO and Virgo GWTC-2 data with chances [latex]p_mathrm{LGRB}^mathrm{GWTC-2} > 10 %[/latex] to have emitted a luminous long-duration gamma ray burst at binary black hole formation are indicated in black with their 90% credible intervals.](https://gwsc.unige.ch/wp-content/uploads/2022/01/img_1920x1080p-4-400x250.jpg)











